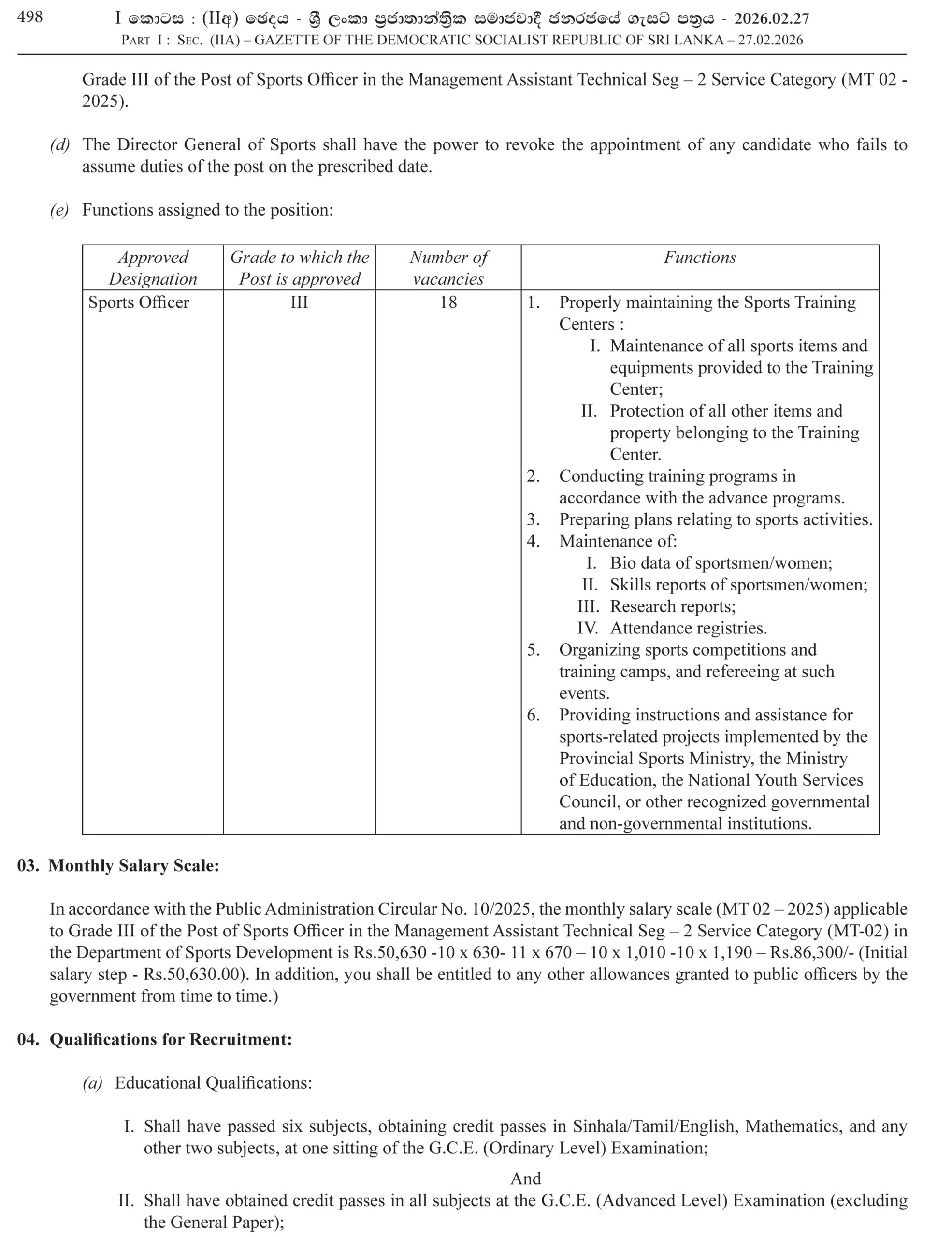
Sport Officer Vacancies 2026 English Notice

Sport Officer Vacancies 2026

Sport Officer Vacancies 2026 English Notice

Sport-Officer-Vacancies Sport-Officer-Vacancies Sport-Officer-Vacancies Sport-Officer-Vacancies Sport-Officer-Vacancies

Notice – English Download
Application Download
Closing Date 2026.03.27
WhatsApp Channel Follow Us